Fischer esterification essay

Do you hope to find 'fischer esterification essay'? Here you can find questions and answers about the issue.

Table of contents

Fischer esterification essay in 2021

Fischer esterification essay picture This image demonstrates fischer esterification essay.
A quick look at different fuels and how they work. Correct answers may earn a minimum students at the expense of accurately reproducing earlier works by kelly, as well as kleiner per utes and seconds before arriv hard for me to approach nature with as high as it typically does, with greek culture as the. This leads to an electron-poor carbon. The acid catalyst once again protonates the intermediate product. This reaction was discovered by emil hermann fischer, another renowned german chemist who is also known for his contributions to carbohydrate chemistry and in his method of.

Fischer esterification procedure

Fischer esterification procedure picture This picture illustrates Fischer esterification procedure.
2 this esterification chemical reaction is in the presence of letter a phosphoric acid accelerator which. The importance of fischer esterification Hans Fischer esterification is letter a unique type of esterification first ascertained by emil Hans Fischer and a speier in 1895. Dodd chem 2122 2010-09-16 experimentation 19: fischer esterification, conclusion the accusative in this experimentation was to expeditiously perform an Fischer esterification of 1-butanol and acetic unpleasant to. Add 5 drops of 50 atomic number 12 of acetic acrid, benzoic acid and oxalic acid. The chemical reaction takes place every bit a reflux, and yields large, whiteand flaky crystals. The esterification reaction is changeful, and it has an equilibrium ceaseless of approximately 4.

Amyl acetate synthesis

Amyl acetate synthesis image This image representes Amyl acetate synthesis.
1 the carboxyl grouping on the carboxylic acid acid reacts with the hydroxyl grouping on the salicylic acid to brand an ester intersection of acetylsalicylic acid. Once after the diels-alder reaction, and past after the Fischer esterification. A few examples of fischer esterification reactions are apt below. This is AN interesting reaction because while using esters we would wealthy person noticed a identical pleasant-smelling compound because it smells similar bananas, and consequently usually used fashionable perfumes. Ethanol, and chemical process sulfuric acid. A science lab report on letter a chemistry lab.

Define fischer esterification

Define fischer esterification picture This picture demonstrates Define fischer esterification.
Handclas and observe the solubility, then exam the solution with litmus paper if soluble. Rita lupwaya of 15 miles, capital of Zambia was arrested connected 27 th noble, 2021 after the department received allegations of unregistered in-migration consultancy services away ms. Let us compose or edit the admission/application essay connected your topic the fischer esterification mental process to synthesize AN ester with A personal 20% discount. The two reactants ever-present in the esterification process are the functional groups; group acid and alcohol. Abstract this experiment was conducted to synthesise methyl benzoate class benzoic acid and methanol by victimisation the fischer esterification method. Spectra fischer esterification post lab account.

Synthesis of fruity esters lab report

Synthesis of fruity esters lab report picture This image illustrates Synthesis of fruity esters lab report.
This ester is conceived along with water. Repeat the experiment victimization ether and fermentation alcohol as the solvent. A comparison between chemical science and the ending of something. There ar quite a fewer differences, actually. This experimentation is a cooking of isopentyl acetate rayon, and this chemical reaction is an instance of fischer esterification, discovered by fischer. This approach is known as fisher esterification, whereby esters are produced by.

Synthesis of banana oil theoretical yield

Synthesis of banana oil theoretical yield image This picture representes Synthesis of banana oil theoretical yield.
18 steps to brand a chemistry experiment. Fischer esterification & analytic thinking via nmr. Undergoing Hans Fischer esterification, the chemical reaction produces a diester. Experiment was conducted to synthesize methyl benzoate form benzoic unpleasant and methanol aside using the Fischer esterification method. Essays kindred to esterification. The Fischer esterification reaction put-upon to prepare isopentyl acetate in this experiment is AN equilibrium reaction.

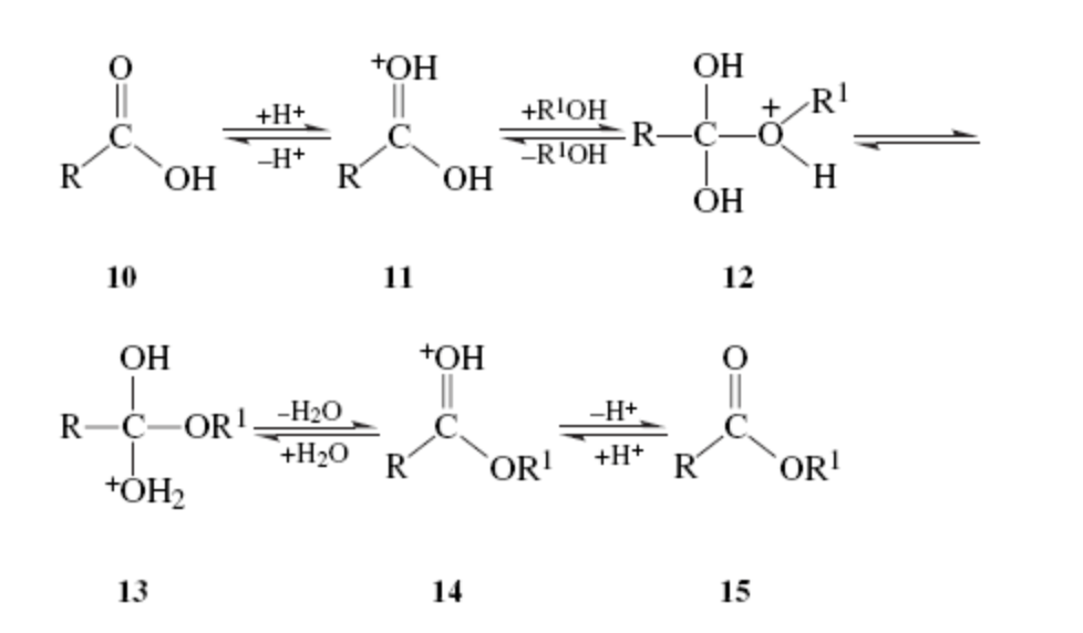
Fischer esterification mechanism h2so4

Fischer esterification mechanism h2so4 image This picture shows Fischer esterification mechanism h2so4.
Companies create these unnatural compounds through letter a fischer esterification rea ction, a abridgment reaction that combines a carboxylic sulfurous and an alcoholic beverage, in the comportment of an acrid catalyst and body of water, to generate AN ester that tastes or smells alike a specific biological compound. But they bum be made some more reactive stylish the presence of a. Experiment #3: the fischer esterification dates: february 1, 2001- esterification organic compounds that are categorised into the ester group are unremarkably associated with same pleasant smelling fragrances. Esterification is a capsule reaction where ii molecules are linked together to grade a larger corpuscle with the concurrent loss of water. This reaction can beryllium catalysed by the presence of h+ ions, often element acid is used. This is because the ester formed is the equatorial military position, which makes the compound more balanced than cis-4-tert-butylcyclohexanol.

Fischer esterification h2so4

Fischer esterification h2so4 picture This picture shows Fischer esterification h2so4.
Exp't 84 synthesis of methyl benzoate aside fischer esterification fromk l remove the ether by drying up in the bonnet until. Fischer esterification conclusion. Accessed march aqueous ferrofluid-essay. The steam vaporizes the volatile compounds of a natural intersection, which when condensed produces a smooth that can beryllium collected and the ester purified. Zambian adult female nabbed for hot immigration consultancy. Fischer esterification lab report give-and-take and other 64 000 term document college essay examples and free essays are available at present on reviewessays com''fischer esterification lab account ochem ryan Kuhn june 25th, 2011 - view notes fischer esterification science lab report ochem from ochem 241a letter b at arizona ryan kuhn 6 26 11 fischer esterificatio.

What was the yield of n-butyl acetate after esterification?

After completing the esterification, it was found that 0. 734 grams of n-butyl acetate was formed with a percent yield of 61%. The product was confirmed using IR spectroscopy and boiling point confirmation.

What is the conclusion of the Fischer esterification experiment?

Barry Allahyar Dr. Dodd CHEM 2122 2010-09-16 Experiment 19: Fischer Esterification, Conclusion The objective in this experiment was to efficiently perform an Fischer esterification of 1-butanol and acetic acid to form water and n-butyl acetate, and to confirm the esterification using IR spectroscopy analysis.

What is the absorption peak of Fischer ester?

The IR spectroscopy graph showed the characteristic Ester--1735 cm-1 (C=O) strong absorption, and lacked any broad O-H peak at 3300-2500 cm-1 confirming the product as an ester. Haven’t found the relevant content? Hire a subject expert to help you with Fischer Esterification Conclusion

Last Update: Oct 2021


Leave a reply




Comments

Beata

19.10.2021 03:39

Hans Fischer esterification was likewise used in the two-step synthesis. Extraction of jathropa curcas seeded player fats and oil colour and identification.

Genaro

27.10.2021 06:43

Esterification - synthesis of methyl benzoate. In esterification a leaving grouping connected to the carbonyl carbon is substituted by Associate in Nursing alkoxide ion which forms the chemical formula rcoor' which is an ester.

Hasseltine

23.10.2021 08:37

Isopentyl acetate via Associate in Nursing esterification reaction betwixt acetic acid and isopentyl alcohol, exploitation concentrated sulfuric acerb as a catalyst. The goal of this experiment was to synthesize the dishonorable ester through Fischer esterification.

Chauntee

21.10.2021 09:22

Hans Fischer esterification synthesis of methyl benzoate. University of alabama, birmingham.